dn80智能电磁流量计
- 字号 + -
dn80智能电磁流量计即管道内径为80mm的电磁流量计,带有直接显示,温度补偿和智能输出及远传功能于一身的电磁流量计。常应用于污水/废水/自来水/泥浆/纸浆等的流量计量,由于其采用电磁感应原理的特性,只要是导电介质皆可测量,所以其应用范围很广。
那么dn80智能电磁流量计使用时需要注意什么呢?
1/口径与量程的选择
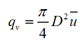
变送器口径通常选用与管道系统相同的口径。如果份道系统有待设计,则可根据流母范围和流速来选择口径。对于电磁流量计来说,流速以2-4m/s较为适宜。在特殊情况下. 如液体中带有固体颗粒,考虑到磨损的情况,可选常用流速≤3m/s,对于易附管壁的流体,可选用流速≤2m/s,流速确定以后,可根据

来确定变送器口径。
变送器的量程可以根据两条原则来选择:一是仪表满量程大于预计的最大流量值,二是正常流值大于仪表满量程的50%,以保证一定的测量精度。
2/衬里选择
电磁流量计内衬材料正确选用方法
应根据被测介质的腐蚀性,磨损性和温度来选择内衬材料:
一、天然橡胶(软橡胶)
1、较好的弹性,耐磨性和扯断力
2、耐一般的弱酸、弱碱的腐蚀
3、 测水、污水
二、耐酸橡胶(硬橡胶)
可耐常温下的盐酸、醋酸、草酸、氨水、磷酸及50%的硫酸、氢氧化钠、氢氧化钾的腐蚀,但不耐强氧化剂的腐蚀
测一般的酸、碱、盐溶液
三、氯丁橡胶(Neoprene)
1、极好的弹性,高度的扯断力,耐磨性能好
2、耐一般低浓度的酸碱、盐溶液的腐蚀,但不耐氧化性介质的腐
<80℃;
测水、污水、泥浆和矿浆
四、聚胺脂橡胶(Polyurethane)
1、极好的耐磨性能
2、耐酸、碱性能差
<40℃
测中性强磨损的煤浆、泥浆和矿浆
五、聚四氟乙烯(PTFE)
1、耐沸腾的盐酸、硫酸、硝酸、王水、浓碱和各种有机溶剂
2、耐磨性能好,粘接性能差
-80~+180℃;
测浓度、浓碱强腐蚀性溶液及卫生类介质
3/应用现场选型
1.了解工艺参数
(1)了解被测液体名称(由用户提供)
(2)了解被测液体的最大流量、常用流量、最小流量(由用户提供)
(3)了解工艺管径(由用户提供)
(4)了解介质温度(由用户提供)
(5)了解介质压力(由用户提供)
(6)了解被测流体的电导率(由用户提供)
(7)了解是否有负压情况存在(由用户提供)
2.初步选型
(1) 根据了解到的被测介质的名称和性质,确定是否采用电磁流量计(由业务员确定)
注意:电磁流量计只能测量导电液体流量,而气体、油类和绝大多数有机物液体不在一般导电液体之例
(2)根据了解到的被介质性质,确定电极材料
注意;公司一般提供不锈钢、哈氏、钛和钽等四种电极,选用哪种电极应根据介质性质查相关资料手册
(2)根据了解到的介质温度确定采用橡胶还是四氟内衬(由营销员确定)
注意:橡胶耐温不得超过80C;
四氟耐温150C,瞬间可耐180C;
城市污水一般可采用橡胶内衬和不锈钢电极
(3)根据了解到的介质压力,选择表体法兰规格(由营销员确定)
注意:电磁法兰规格通常为当口径由DN10-250时,法兰额定压力≤1.6Mpa;
当口径由DN250-1000时,法兰额定压力≤1.0Mpa;
当介质实际压力高于上述管径-压力对应范围时,为特殊订货,但最高压力不得超过6.4Mpa
(4)确定介质的电导率
注意:(1)电磁流量计的电导率不得低于5uS/cm
(2)自来水的电导率约为几十到上百个uS/cm,一般锅炉软水(去离子水)导电,纯水(高度蒸馏水)不导电
(3)气体、油和绝大多数有机物液体的电导率远低于5uS/cm,不导电。
3.了解用户要求
(1)了解是组合式就地显示还是分体式远传显示(由用户提供)
注意:当为分体远传显示时请了解最大距离,分离最大距离为100米
(2)了解是否需要其它附加功能(由用户提供)
注意:1、电磁流量计本身带有上下限流量报警、频率和电流输出功能,无须另外特殊订货
2、电磁流量计外壳密封防护等级有IP65和IP68两种,当选择潜水型IP68时属于特殊订货
3、当电磁流量计要和计算机连接时,需增加RS-485通讯口,属于特殊订货
4.选型:通过上述步骤后,可最后确定电磁流量计型号规格。
了解了上诉的这些,我们知道电磁流量计有许多优点,但是由于原理决定了它只能测导电液体。目前电磁流量计广泛应用于污水,氟化工,生产用水,自来水行业以及医药,钢铁等等诸多方面。
介绍了这么多关于DN80智能电磁流量计的内容,眼前的你一定知道选择DN80智能电磁流量计需要注意的要点了吧?如果有的读者觉得,这么多参数要确认,还要自己去选型,真的很麻烦。那么小编建议,您可以去找一些有名的电磁流量计厂家,例如米科传感等,届时他们会有专门的工程师帮您来选项和报价的呢。


