浙江涡街流量计厂家
- 字号 + -
涡街流量计压力损失小,量程范围大,精度高,在测量工况体积流量时几乎不受流体密度、压力、温度、粘度等参数的影响。无可动机械零件,因此可靠性高,维护量小。仪表参数能长期稳定。涡街流量计采用压电应力式传感器,可靠性高,可在-20℃~+250℃的工作温度范围内工作。有模拟标准信号,也有数字脉冲信号输出,容易与计算机等数字系统配套使用,是一种比较先进、理想的测量仪器,因此在很多工况上面被广泛使用。浙江省作为中国经济大省之一,工业发展迅速,因此生产涡街流量计的厂家有很多,这就给需要选购涡街流量计的顾客造成很多困扰,因为市面上的竞争很多,而涡街流量计并不比其他产品,一旦买到劣质产品,会给生产造成很大损失,因此,在选择浙江涡街流量计生产厂家的前提是要对涡街流量计了解。
首先是原理,在流体中设置三角柱型旋涡发生体,则从旋涡发生体两侧交替地产生有规则的旋涡,这种旋涡称为卡门旋涡,旋涡列在旋涡发生体下游非对称地排列。
涡街流量计是根据卡门涡街原理(Kármán Vortex Street)测量气体、蒸汽或液体的体积流量、标况的体积流量或质量流量的体积流量计。并可作为流量变送器应用于自动化控制系统中。
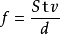
涡街流量计是应用流体振荡原理来测量流量的,流体在管道中经过涡街流量变送器时,在三角柱的旋涡发生体后上下交替产生正比于流速的两列旋涡,旋涡的释放频率与流过旋涡发生体的流体平均速度及旋涡发生体特征宽度有关,可用下式表示:
![]()
另外也要对安装要求要有所了解,因为安装不当,就有可能会对产品造成损害,从而减少使用寿命,
安装要求:1、合理选择安装场所和环境。
避开强电力设备,高频设备,强电源开关设备;避开高温热源和辐射源的影响,避开强烈震动场所和强腐蚀 环境等,同时要考虑安装维修方便。
2、上下游必须有足够的直管段。
若传感器安装点的上游在同一平面上有二个90°弯头,则:上游直管段≥25D,下游直管段≥5D 。
若传感器安装点的上游在不同平面上有二个90°弯头,则:上游直管段≥40D,下游直管段≥5D 。
调节阀应安装在传感器的下游5D以外处,若必须安装在传感器的上游,传感器上游直管段应不小于50D,下游应有不小于5D。
3、安装点上下游的配管应与传感器同心,同轴偏差应不小于0.5DN。
4、管道采取减振动措施。
传感器尽量避免安装在振动较强的管道上,特别是横向振动。若不得已要安装时,必须采取减振措施,在传感器的上下游2D处分别设置管道紧固装置,并加防振垫。
5、在水平管道上安装是流量传感器最常用的安装方式。
测量气体流量时,若被测气体中含有少量的液体,传感器应安装在管线的较高处。
测量液体流量时,若被测液体中含有少量的气体,传感器应安装在管线的较低处。
6、传感器在垂直管道的安装。
测量气体流量时,传感器可以安装在垂直管道上,流向不限。若被测气体中含有少量的液体,气体流向应由下向上。
测量液体流量时,液体流向应由下向上:这样不会将液体重量额外附加在探头上。
7、传感器在水平管道的侧装。
无论测量何种流体,传感器可以在水平管道上侧装,特别是测量过热蒸汽,饱和蒸汽和低温液体,若条件允许最好采用侧装,这样流体的温度对放大器的影响较小。
8、传感器在水平管道的倒装。
一般情况下不推荐用此安装方法。此安装方法不适用于测量一般气体、过热蒸汽。可用于测量饱和蒸汽,适用于测量高温液体或需经常清洗管道的情况。
9、传感器在有保温层管道上的安装。
测量高温蒸汽时,保温层最多不能超过支架高度的三分之一。
10、测压点和测温点的选择。
根据测量的需要,需在传感器附近测量压力和温度时,测压点应在传感器下游的3-5D处,测温点应在传感器下游的6-8D处。
对选购产品的了解,才能避免那些不良厂家的忽悠,从而选购一款让自己更加放心的产品,在这里,我给大家推荐杭州米科传感技术有限公司,杭州米科传感技术有限公司依托于国内外先进的技术与创新能力,在各领域不断突破创新。公司发展至今已形成了完备的过程自动化仪器仪表生产线,为各领域客户提供了包括流量计、压力变送器、温度传感器、水质检测仪、无纸记录仪在内的过程自动化仪表。在购买产品的同时,也要考虑售后服务,为了就是使用过程中出现了什么产品问题,可以及时得到解决,以免因为质量问题耽误生产,从而造成损失,米科传感已在全国设立了20个线下服务中心,服务范围辐射全国,为所有新老用户提供了及时有效的服务保障:各领域工程师可亲临客户现场,指导安装,设备调试。公司所有产品均采用顺丰速递,确保传感器安全、快速地到达客户手中。因此,大家可以前往米科官网浏览,也许你可以买到纠结已久的产品,尽快投入使用。


